Задание 1082 - ГДЗ Геометрия 7-9 класс. Атанасян. Учебник

Старая и новая редакции

Вернуться к содержанию учебника

1080 1081 1082 1082 1083 1084 1085

Вопрос

Выберите год учебника

№1082 учебника 2013-2022 (стр. 276):

Чему равна сумма внешних углов правильного -угольника, если при каждой вершине взято по одному внешнему углу?


№1082 учебника 2023-2024 (стр. 269):

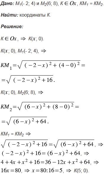
На оси абсцисс найдите точку, равноудаленную от точек М1(- 2; 4) и М2(6; 8).

Подсказка

№1082 учебника 2013-2022 (стр. 276):

Вспомните:

  1. Какой многоугольник называется правильным.
  2. Какой угол называется внешним углом многоугольника.
  3. Как найти сумму углов выпуклого многоугольника.

№1082 учебника 2023-2024 (стр. 269):

Вспомните:

  1. Координаты точки.
  2. Как найти расстояние между точками, зная их координаты.

Ответ

№1082 учебника 2013-2022 (стр. 276):


№1082 учебника 2023-2024 (стр. 269):


Вернуться к содержанию учебника