Вернуться к содержанию учебника
Выберите год учебника
№369 учебника 2011-2018 (стр. 146):
Найдите в тексте упр. 345 высказывание русского писателя и лингвиста А. Югова. Используя материалы § 33, найдите факты, подтверждающие справедливость этого высказывания.
№369 учебника 2019 (стр. 134):
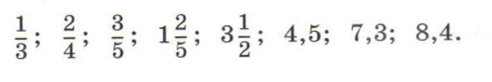
№369 учебника 2021-2022 (стр. 134):
Прочитайте дробные числительные, а затем запишите их, заменяя числа словами.

№369 учебника 2020 (стр. 149):
УЧИМСЯ ГОВОРИТЬ НА ЛИНГВИСТИЧЕСКУЮ ТЕМУ
Расскажите о слитном и раздельном написании не: а) с глаголами; б) с именами существительными и прилагательными. Объясните, почему написание не с глаголами противопоставляется написанию не с именами существительными и прилагательными.
№369 учебника 2023-2024 (стр. 137):
1. Прочитайте текст. Какое имя существительное следует вставить вместо точек, чтобы сохранить смысл данного текста?
В русском языке много слов, характеризующих ...: тихий, громкий, негромкий, слабый, сильный, звучный, высокий, резкий, тонкий, низкий, глухой, гортанный, зычный, пронзительный, писклявый, визгливый, хриплый, гнусавый, чистый, весёлый, грустный, самоуверенный, гневный, грубый, злой, угрожающий, спокойный, нервный, ровный, возбуждённый, взволнованный, дрожащий, певучий, мелодичный, красивый, мягкий, нежный, детский*, юношеский, девичий, молодой, старый, старческий, мужской, женский. (Л. Введенская)
2. Какую роль играют в тексте перечисленные прилагательные? Какие из них можно назвать синонимами? антонимами?
3. Найдите слово с непроизносимым согласным.
4. Что означают две пометы ударения в слове девичий?
5. Образуйте и правильно произнесите формы сравнительной и превосходной степени прилагательного красивый.
№369 учебника 2019 (стр. 134):
№369 учебника 2021-2022 (стр. 134):
Обратимся к теме: "Склонение дробных числительных"
№369 учебника 2020 (стр. 149):
Обратитесь к теме "Правописание не с разными частями речи".
№369 учебника 2023-2024 (стр. 137):
Воспользуйтесь подсказками:
№369 учебника 2011-2018 (стр. 146):
"Глагол – самая огнепышущая, самая живая часть речи. В глаголе струится самая алая, самая свежая, артериальная кровь языка. Да ведь и назначение глагола – выражать само действие!" (А. Югов)
Глагол – живая часть речи. Одним глаголом в разных наклонениях и лицах мы можем показать не только действие, но и наше отношение к человеку, на которого это действие направлено. Например, открой, открой-ка, откройте, открыл бы - глагол один, а отношение разное.
В русском языке много глаголов-синонимов, и с их помощью также можно показать разные оттенки значения: писать, корябать, выводить.
Таким образом, мы видим, что разные значения глаголов дают нашей речи особую живость и свежесть.
№369 учебника 2019 (стр. 134):
№369 учебника 2021-2022 (стр. 134):
Одна третья, две четвёртых, три пятых, одна целая две пятых, три целых одна вторая, четыре целых пять десятых, семь целых три десятых, восемь целых, четыре десятых.
№369 учебника 2020 (стр. 149):
НЕ с глаголом пишется раздельно: не знать, не читать.
Исключения составляют слова, которые не употребляются без НЕ: негодовать, ненавидеть.
НЕ с именами существительными и прилагательными пишутся слитно, если они не употребляются без НЕ: ненастье, нелепый;
или слово можно заменить синонимом без НЕ: недруг (враг), невысокий (низкий).
Если есть противопоставление с союзом А, то НЕ с существительными и прилагательными пишется раздельно: Не друг, а враг. Не широкий, а узкий.
№369 учебника 2023-2024 (стр. 137):
1. Голос.
2. Перечисленные прилагательные дают характеристику голоса.
Синонимы: тихий - негромкий, сильный - звучный, тонкий - писклявый, гортанный - зычный, пронзительный - визгливый, гневный - злой, возбуждённый - взволнованный - дрожащий, певучий - мелодичный, мягкий - нежный, старый - старческий.
Антонимы: тихий- громкий, слабый - сильный, слабый - звучный, высокий - низкий, высокий - хриплый, хриплый - чистый, весёлый - грустный, нервный - спокойный, ровный - возбуждённый, молодой-старый, старческий.
3. В словах звучный, зычный сочетание чн произносится [ч’н].
4. Грустный.
5. Слово девичий можно произносить с разным ударением: де́вичий - деви́чий.
6. Красивый - краси́вее, краси́вей, покраси́вее, покраси́вей, более красивый;
самый красивый, наиболее красивый, краси́вейший.

Вернуться к содержанию учебника