Задание 921 - ГДЗ Математика 6 класс. Виленкин, Жохов, Чесноков. Учебник. Страница 154

Старая и новая редакции

Вернуться к содержанию учебника

918 919 920 921 922 923 924

Вопрос

№921 учебника 2011-2017 (стр. 154):

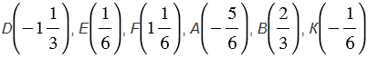
Приняв за единичный отрезок длину 6 клеток тетради, начертите координатную прямую и отметьте на ней точки

, С(-0,5), , М(1,5).

Подсказка

№921 учебника 2011-2017 (стр. 154):

Вспомните:

  1. Что такое координата точки.
  2. Как определить положение точки на координатной прямой.
  3. Обыкновенные дроби.
  4. Смешанные числа.
  5. Десятичные дроби.

Ответ

№921 учебника 2011-2017 (стр. 154):


Вернуться к содержанию учебника