Номер 557 - ГДЗ Математика 6 класс. Мерзляк, Полонский. Учебник. Страница 103

Вернуться к содержанию учебника

Страница 103

554 555 556 557 558 559 560

Вопрос

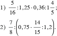
Найдите значение выражения:

Подсказка

Вспомните:

  1. Порядок выполнения действий.
  2. Обыкновенные дроби.
  3. Смешанные числа.
  4. Десятичная запись дробных чисел.
  5. Умножение дробей и смешанных чисел.
  6. Деление дробей и смешанных чисел.
  7. Какие числа называют взаимно обратными.
  8. Сокращение дробей.

Ответ


Вернуться к содержанию учебника