Вернуться к содержанию учебника
Выберите год учебника
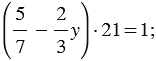
№545 учебника 2018-2020 (стр. 100):
Решите уравнения:
а) 
б) 
в) 
г) 
№545 учебника 2011-2017 (стр. 89):
В первый день туристы прошли
всего пути, во второй день -
всего пути. Сколько километров пройдено за два дня, если весь путь
км? Составьте выражение для решения задачи, упростите его и найдите значение при
= 27; 36;
.
№545 учебника 2018-2020 (стр. 100):
Вспомните:
№545 учебника 2011-2017 (стр. 89):
Вспомните:
Вернуться к содержанию учебника