Вернуться к содержанию учебника
Упражнения § 5. Страница 38
149 150 151 152 153 154 155 156 157 158 159
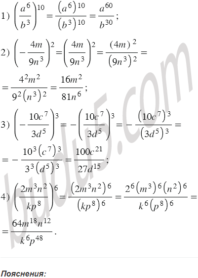
Представьте в виде дроби выражение:
Вспомните: