Задание 1003 - ГДЗ Геометрия 7-9 класс. Атанасян. Учебник

Старая и новая редакции

Вернуться к содержанию учебника

1000 1001 1002 1003 1004 1005 1006

Вопрос

Выберите год учебника

№1003 учебника 2013-2022 (стр. 246):

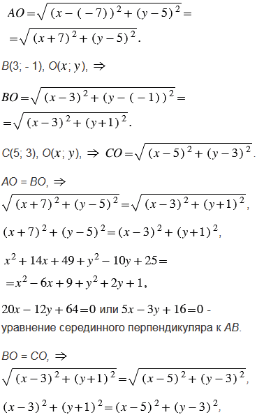
Вершины треугольника АВС имеют координаты А(- 7; 5), В(3; - 1), С(5; 3). Составьте уравнения: а) серединных перпендикуляров к сторонам треугольника; б) прямых АВ, ВС и СА; в) прямых, на которых лежат средние линии треугольника.


№1003 учебника 2023-2024 (стр. 251):

Векторы и не коллинеарны. Найдите числа и , удовлетворяющие равенству: а) ; б) ;

в) ; г) .

Подсказка

№1003 учебника 2013-2022 (стр. 246):

Вспомните:

  1. Что такое треугольник.
  2. Координаты точки.
  3. Что такое прямая.
  4. Уравнение прямой.
  5. Что такое серединный перпендикуляр.
  6. Что такое средняя линия треугольника.

№1003 учебника 2023-2024 (стр. 251):

Вспомните:

  1. Что такое вектор.
  2. Какие векторы называются неколлинеарными.
  3. Разложение вектора по двум неколлинеарным векторам.
  4. Как определить координаты вектора.

Ответ

№1003 учебника 2013-2022 (стр. 246):


№1003 учебника 2023-2024 (стр. 251):


Вернуться к содержанию учебника