Вернуться к содержанию учебника
Выберите год учебника
№2.304 учебника 2023-2024 (стр. 85):
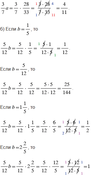
Найдите значение выражения:

№2.304 учебника 2021-2022 (стр. 80):
На хлебозаводе было
т муки. Сколько тонн муки стало на хлебозаводе после того, как на выпечку хлеба израсходовали
т, а затем привезли
т муки?
№2.304 учебника 2023-2024 (стр. 85):
Вспомните:
№2.304 учебника 2021-2022 (стр. 80):
Вспомните:
№2.304 учебника 2023-2024 (стр. 85):


Пояснения:
Чтобы найти значение буквенного выражения, при заданном числовом значении букв, нужно в это выражение вместо букв подставить числа, им соответствующие, и выполнить вычисления.
Чтобы выполнить умножение смешанных чисел, нужно записать эти числа в виде неправильных дробей, а затем воспользоваться правилом, согласно которому, произведением двух дробей является дробь, числитель которой равен произведению числителей, а знаменатель - произведению знаменателей.
Чтобы преобразовать смешанное число в неправильную дробь, надо целую часть числа умножить на знаменатель дробной части и к полученному произведению прибавить числитель дробной части; эту сумму записать как числитель неправильной дроби, а в ее знаменатель записать знаменатель дробной части смешанного числа.
Чтобы вычисления были проще, не надо перемножать сразу, лучше сделать это после сокращения.
Сократить дробь - значит, разделить ее числитель и знаменатель на одно и то же число (наибольший общий делитель).
Если при вычислениях получилась неправильная дробь (числитель больше знаменателя), ее нужно преобразовать в смешанное число. Чтобы неправильную дробь, числитель которой нацело не делится на знаменатель, преобразовать в смешанное число, надо числитель разделить на знаменатель; полученное неполное частное записать как целую часть смешанного числа, а остаток - как числитель его дробной части.
№2.304 учебника 2021-2022 (стр. 80):


Чтобы найти сумму смешанных чисел, надо:
1) дробные части этих чисел привести к наименьшему общему знаменателю;
2) отдельно выполнить сложение целых и отдельно дробных частей;
3) при необходимости сократить дробь (разделить числитель и знаменатель дроби на их наибольший общий делитель), выделить целую часть (когда числитель больше знаменателя) и прибавить ее к полученной целой части.
Чтобы найти разность смешанных чисел, надо:
1) дробные части этих чисел привести к наименьшему общему знаменателю;
2) если дробная часть уменьшаемого больше дробной части вычитаемого, то надо отдельно вычесть целые и отдельно дробные части и результаты сложить;
3) если дробная часть уменьшаемого меньше дробной части вычитаемого, то надо превратить ее в неправильную дробь, уменьшив на единицу целую часть, и выполнить вычитание по пункту 2;
4) при необходимости сократить дробь (разделить числитель и знаменатель дроби на их наибольший общий делитель).
Вернуться к содержанию учебника