Вернуться к содержанию учебника
Выберите год учебника
№2.376 учебника 2023-2024 (стр. 95):
В двухкомнатной квартире жилой площадью
м2 одна комната составляет 0,48 жилой площади, а другая составляет
площади первой комнаты. Чему равна площадь двух комнат вместе? Найдите значение получившегося выражения при
= 45;
= 70.
№2.376 учебника 2021-2022 (стр. 88):
В кинотеатр на дневной сеанс пришло 240 человек. Из них
- дети, 0,4 от количества детей - подростки, остальные - взрослые. Сколько взрослых пришло на сеанс?
№2.376 учебника 2023-2024 (стр. 95):
Вспомните:
№2.376 учебника 2021-2022 (стр. 88):
Вспомните:
№2.376 учебника 2023-2024 (стр. 95):
Площадь квартиры -
м2,
Площадь первой комнаты - 0,48
м2,
Площадь второй комнаты:

Площадь двух комнат вместе:
0,48
+ 0,3
= 0,78
(м2).
Если
= 45, то
0,78
= 0,78 • 45 = 35,1 (м2)
| × | 0 | 7 | 8 | |
| 4 | 5 | |||
| + | 3 | 9 | 0 | |
| 3 | 1 | 2 | ||
| 3 | 5 | 1 | 0 |
Если
= 70, то
0,78
= 0,78 • 70 = 54,6 (м2)
| × | 0 | 7 | 8 | |
| 7 | 0 | |||
| 5 | 4 | 6 | 0 |
Ответ: площадь двух комнат вместе равна 0,78
м2; 35,1 м2; 54,6 м2.
Пояснения:
Чтобы найти дробь от числа, нужно число умножить на эту дробь.
В двухкомнатной квартире жилой площадью
м2 одна комната составляет 0,48 жилой площади, значит, площадь первой комнаты равна 0,48
м2.
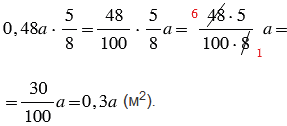
Площадь второй комнаты составляет
площади первой комнаты, значит, площадь второй комнаты равна:

При выполнении вычислений преобразуем десятичную дробь в обыкновенную, и выполняем умножение обыкновенных дробей. Произведением двух дробей является дробь, числитель которой равен произведению числителей, а знаменатель - произведению знаменателей. Чтобы вычисления были проще, не надо перемножать сразу, лучше сделать это после сокращения. Сократить дробь - значит, разделить ее числитель и знаменатель на их наибольший общий делитель.
Площадь первой комнаты 0,48
м2, площадь второй комнаты 0,3
м2, значит, площадь двух комнат вместе:
0,48
+ 0,3
= 0,78
(м2).
Чтобы найти значение буквенного выражения при заданном значении переменной, нужно в это выражение вместо буквы подставить, соответствующие ей, числа и выполнить вычисления.
Получается, чтобы найти значение буквенного выражения 0,78
, нужно в это выражение вместо буквы
подставить, соответствующие ей, числа и выполнить вычисления (смотри решение).
№2.376 учебника 2021-2022 (стр. 88):

- дети.
2) 100 • 0,4 = 40 (ч.) - подростки.
3) 100 + 40 = 140 (ч.) - дети и подростки вместе.
4) 240 - 140 = 100 (ч.) - взрослые.
Ответ: 100 взрослых пришло на сеанс.
Пояснения:
Чтобы найти дробь от числа (десятичную или обыкновенную), нужно умножить число на эту дробь.
В кинотеатр на дневной сеанс пришло 240 человек. Из них
- дети, значит, детей пришло на сеанс:

Чтобы умножить обыкновенную дробь на натуральное число, нужно ее числитель умножить на это число, а знаменатель оставить без изменения. Чтобы вычисления были проще, не надо перемножать сразу, лучше сделать это после сокращения. Сократить дробь - значит, разделить ее числитель и знаменатель на их наибольший общий делитель. Также помним, дробь, у которой в знаменателе стоит единица, равна своему числителю.
На сеанс пришло 100 детей, 0,4 от количества детей - подростки, значит, подростков пришло на сеанс:
100 • 0,4 = 40 (ч.).
На сеанс пришло 100 детей и 40 подростков, значит, детей и подростков вместе пришло на сеанс:
100 + 40 = 140 (ч.).
Всего на сеанс пришло 240 человек, из которых 140 человек - дети и подростки, остальные - взрослые, значит, взрослых пришло на сеанс:
240 - 140 = 100 (ч.).
Вернуться к содержанию учебника