Вернуться к содержанию учебника
Выберите год учебника
№2.247 учебника 2023-2024 (стр. 77):
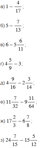
Найдите разность:

№2.247 учебника 2021-2022 (стр. 71):
На филателистической выставке 27 частей марок было посвящено знаменательным событиям, 9 частей - природе и 1 часть - редкие марки. Сколько всего марок было на выставке, если марок, посвященных природе, было на 680 больше, чем редких?
№2.247 учебника 2023-2024 (стр. 77):
Вспомните:
№2.247 учебника 2021-2022 (стр. 71):
Вспомните:
№2.247 учебника 2023-2024 (стр. 77):





№2.247 учебника 2021-2022 (стр. 71):

1) 9 - 1 = 8 (частей) - на столько марок о природе больше, чем редких марок.
2) 680 : 8 = 85 (м.) - приходится на одну часть.
| - | 6 | 8 | 0 | 8 | ||||||||||
| 6 | 4 | 8 | 5 | |||||||||||
| - | 4 | 0 | ||||||||||||
| 4 | 0 | |||||||||||||
| 0 |
3) 27 + 9 + 1 = 37 (частей) - всего.
4) 85 • 37 = 3145 (м.)
| × | 8 | 5 | ||
| 3 | 7 | |||
| + | 5 | 9 | 5 | |
| 2 | 5 | 5 | ||
| 3 | 1 | 4 | 5 |
Ответ: 3145 марок было на выставке.
Пояснения:
По условию задачи составляем краткую запись:

Из всех марок 9 частей было посвящено природе и 1 часть - редкие марки, значит, марок о природе было на 8 частей больше, так как 9 - 1 = 8. При этом марок, посвященных природе, было на 680 больше, чем редких, значит, на одну часть приходится:
680 : 8 = 85 (марок).
На филателистической выставке 27 частей марок было посвящено знаменательным событиям, 9 частей - природе и 1 часть - редкие марки. Значит, все марки составляют:
27 + 9 + 1 = 37 (частей).
Итак, на выставке было 37 частей марок, при этом на одну часть приходится 85 марок, значит, всего на выставке было:
85 • 37 = 3145 (марок).
Вернуться к содержанию учебника