Вернуться к содержанию учебника
Выберите год учебника
№2.513 учебника 2023-2024 (стр. 112):
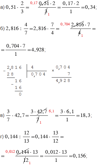
Выполните действия:

№2.513 учебника 2021-2022 (стр. 107):
После того как
заготовленного на зиму сена было израсходовано на кормление животных, осталось 36 т. Сколько тонн сена было заготовлено на зиму?
№2.513 учебника 2023-2024 (стр. 112):
Вспомните:
№2.513 учебника 2021-2022 (стр. 107):
№2.513 учебника 2023-2024 (стр. 112):



Пояснения:
Действия с дробными выражениями выполняют по правилам действий с обыкновенными дробями.
Чтобы умножить обыкновенную дробь на десятичную дробь, нужно ее числитель умножить на эту десятичную дробь, а знаменатель оставить без изменения.
Чтобы умножить смешанное число на десятичную дробь, нужно смешанное число преобразовать в неправильную дробь, а затем воспользоваться правилом умножения обыкновенной дроби на десятичную дробь.
Чтобы найти частное двух дробей, надо делимое умножить на число, обратное делителю. При этом помним, обратным числу
является число
.
Чтобы выполнить деление смешанных чисел, нужно записать эти числа в виде неправильных дробей, а затем воспользоваться правилом деления дробей.
Чтобы преобразовать смешанное число в неправильную дробь, надо целую часть числа умножить на знаменатель дробной части и к полученному произведению прибавить числитель дробной части; эту сумму записать как числитель неправильной дроби, а в ее знаменатель записать знаменатель дробной части смешанного числа.
При выполнении умножения дробей, чтобы вычисления были проще, не надо перемножать сразу, лучше сделать это после сокращения. Сократить дробь - значит, разделить ее числитель и знаменатель на одно и то же число (наибольший общий делитель).
Чтобы разделить десятичную дробь на натуральное число, нужно разделить дробь на это число, не обращая внимания на запятую и поставить в частном запятую, когда кончится деление целой части.
Чтобы умножить десятичную дробь на натуральное число, надо умножить их как натуральные числа, не обращая внимание на запятую и в полученном произведении отделить запятой справа столько цифр, сколько их стоит после запятой у умножаемой дроби.
Дробное выражение, у которого в знаменателе стоит единица, равно своему числителю.
№2.513 учебника 2021-2022 (стр. 107):

Чтобы найти число по значению, соответствующему данной дроби, надо это значение разделить на дробь.
Чтобы найти частное двух дробей, надо делимое умножить на число, обратное делителю.
Взаимно обратными числами называют два числа, произведение которых равно 1.
Чтобы найти произведение двух дробей, можно:
1) перемножить их числители и перемножить их знаменатели;
2) первое произведение записать числителем, а второе - знаменателем.
Чтобы неправильную дробь, числитель которой нацело не делится на знаменатель, преобразовать в смешанное число, надо числитель разделить на знаменатель; полученное неполное частное записать как целую часть смешанного числа, а остаток - как числитель его дробной части.
Вернуться к содержанию учебника