Вернуться к содержанию учебника
Страница 220
1028 1029 1030 1031 1032 1033 1034 1035 1036 1037 1038
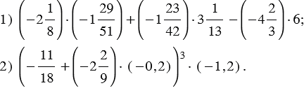
Выполните действия:
Вспомните: