Номер 304 - ГДЗ Алгебра 7 класс. Мерзляк, Полонский. Учебник. Страница 61

Вернуться к содержанию учебника

Страница 61

301 302 303 304 305 306 307

Вопрос

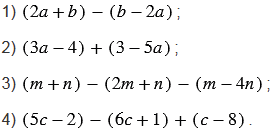
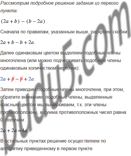
Упростите выражение:

Подсказка

Вспомните:

  1. Правила раскрытия скобок, подобные слагаемые.
  2. Правила сложения рациональных чисел.
  3. Правила вычитания рациональных чисел.
  4. Модуль числа.
  5. Противоположные числа.

Ответ


Вернуться к содержанию учебника