Задание 948 - ГДЗ Геометрия 7-9 класс. Атанасян. Учебник

Старая и новая редакции

Вернуться к содержанию учебника

945 946 947 948 949 950 951

Вопрос

Выберите год учебника

№948 учебника 2013-2022 (стр. 233):

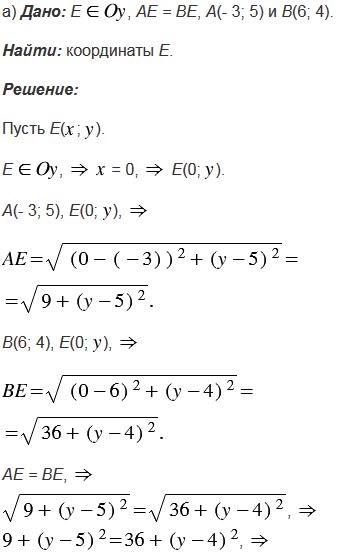
На оси ординат найдите точку, равноудаленную от точек:

а) А(- 3; 5) и В(6; 4); б) С(4; - 3) и D(8; 1).


№948 учебника 2023-2024 (стр. 235):

Докажите, что для любых двух неколлинеарных векторов и справедливо неравенство .

Подсказка

№948 учебника 2013-2022 (стр. 233):

Вспомните:

  1. Что такое прямоугольная система координат.
  2. Координаты точки.
  3. Как найти расстояние между точками, зная их координаты.

№948 учебника 2023-2024 (стр. 235):

Вспомните:

  1. Что такое вектор, длина вектора.
  2. Какие векторы называются неколлинеарными.
  3. Неравенство треугольника.

Ответ

№948 учебника 2013-2022 (стр. 233):


№948 учебника 2023-2024 (стр. 235):


Вернуться к содержанию учебника