Номер 930 - ГДЗ Алгебра 8 класс. Мерзляк, Полонский. Учебник. Страница 227

Вернуться к содержанию учебника

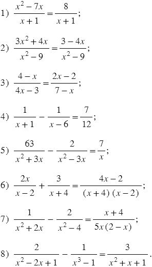
Упражнения для повторения курса алгебры 8 класса. Страница 227

927 928 929 930 931 932 933

Вопрос

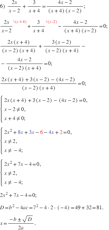
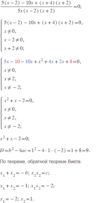
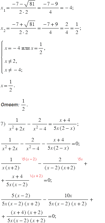
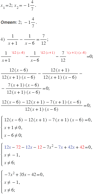
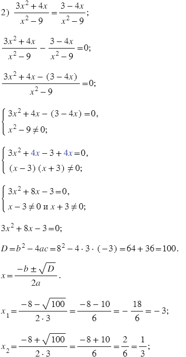
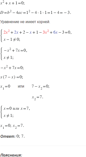
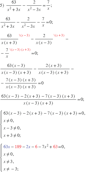
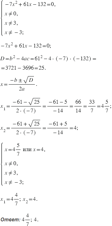
Решите уравнение:

Подсказка

Ответ


Вернуться к содержанию учебника